Introduction
Acute graft versus host disease (aGVHD) is an important complication of allogeneic hematopoietic stem cell transplant (AHSCT). Steroid refractory (SR) aGVHD is seen in about 40- 50% of patients with no recommended standard of care. We report our experience with etanercept (ETA) as the initial agent in SR aGVHD.
Materials and Methods
We retrospectively analysed 43 AHSCT patients from 2010 to 2019 who received ETA as initial agent for SR aGVHD amongst 311 patients who underwent AHSCT in the same period. Patients received myeloablative (MAC) or reduced intensity conditioning (RIC). The transplants were from matched sibling donor (MSD), matched unrelated donor (MUD) and haploidentical donor (Haplo). GVHD prophylaxis was calcineurin inhibitor (CNI) plus methotrexate (MTX)/ mycophenolate mofetil (MMF) in MSD/MUD. Rabbit ATG (2.5-5 mg/kg) was used for MUD. Haplo transplant patients received post-transplant cyclophosphamide (PTCy) with CNI and MMF.
aGVHD was graded as per the modified Glucksberg criteria. Additionally, all aGVHD episodes were also classified as per the Minnesota Scoring into High Risk (HR) and Standard Risk (sr) GVHD.
First line treatment of aGVHD Grade II-IV was systemic steroids with methylprednisolone 1-2 mg/kg/day. SR aGVHD was defined as per standard criteria. ETA was started as 25 mg (0.4 mg/kg in children) subcutaneously every 72 hours initially and was tapered gradually depending on response.
Response of SR aGVHD to ETA was defined as follows:Complete response (CR) was the complete resolution of aGVHD manifestations in all organs. Partial response (PR) was improvement in GVHD stage in at least 1 of the initially involved organs without CR and worsening in any other organs. Very good partial response (VGPR) was improvement in GVHD in all initial organs, with maximum stage I involvement in 1 or more organs (except upper gut). No response (NR)/Progression/Failure of therapy was defined as same grade or progression of GVHD in any organ or the addition of further GVHD therapy beyond ETA. Death prior to 1st response assessment was taken as NR.
Response assessment was done at 3 time points - Day 14, Day 28 and Day 56 after initiation of ETA. Reduction of initial systemic steroid dose by ≥30% from baseline on day 28 after start of ETA was analysed as a subgroup to assess outcomes of patients.
Results
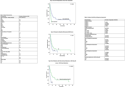
The characteristics of all 43 patients are shown in Table 1. ETA was required in a total of 45 episodes in 43 patients. The overall grade of GVHD and organs involved at the start of first line treatment are as in Table 2. The median day of onset of acute GVHD was 58 days (range 8-738 days). The median day of start of ETA was 86 days (range 16-74 days). The median number of days steroid was given prior to start of ETA was 7 days. The median number of ETA doses given were 11 (range 2-25).
Response assessment on the predetermined time points are as in Table 2. The response rates (CR+VGPR+PR) at Day 14, Day 28 and Day 56 were 62%, 69% and 64% respectively. The organ specific response rates (CR+VGPR+PR) were 70% for lower gut, 67% for skin and 50% for liver. A third line agent for aGVHD was added in 10 patients, which included ruxolitinib, cyclosporine, mycophenolate mofetil, basiliximab or low dose weekly cyclophosphamide.
The median OS of the whole cohort of SR aGVHD was 5.2 months. The median OS of the responders (CR+PR+VGPR) at Day 28 from ETA start was 6.8 months versus 2.8 months (p=0.0003) in non-responders (Fig 1). The median OS of sr group of Minnesota Grading was 24 months versus 10 months in HR group (p=0.085) (Fig 2).
Patients, in whom reduction in the systemic steroid dose ≥ 30% at Day 28 from start of ETA was possible, had a significantly better median OS (9.5 months versus 3.5 months; p=0.000021) (Fig 3). In multivariate analysis, steroid dose reduction on day 28 of start of ETA was the most significant factor (p=0.008; hazard ratio 3.33; CI 1.3-8.1)
CMV reactivation was seen in 64% of the patients. Fungal infections in 51% and bacterial infections in 78% patients after start of ETA. The causes of death were infection in 25 (58%) patients, refractory GVHD in 8 (18%), combination of GVHD and infection in 2 (5%) and relapse in 4 (9%) patients.
Conclusion
ETA used as initial agent has shown acceptable response rates for SR aGVHD in our cohort, especially for lower gut and skin. However, infections were the major cause for mortality for this cohort and early tapering of systemic steroids may be the key to improving outcomes.
No relevant conflicts of interest to declare.
Author notes
Asterisk with author names denotes non-ASH members.

This feature is available to Subscribers Only
Sign In or Create an Account Close Modal